
안녕하세요, HELLO
기하 분포(geometric distribution)는 성공할 확률이 p인 베르누이 시행을 '1번' 성공할 때까지 시행합니다. 이에 비해 음이항 분포(Negative binomial distribution)는 베르누이 시행을 'r 번' 성공할 때까지 시행하는 경우의 실패(시행) 횟수의 분포를 의미합니다. 오늘은 음이항 분포에 대해서 정리하려고 합니다.
CHAPTER 1. '음이항 분포(Negative binomial distribution)' 선행 지식
CHAPTER 2. '음이항 분포(Negative binomial distribution)' 정리
CHAPTER 3. '음이항 분포(Negative binomial distribution)' 공식 및 특징
CHAPTER 1. '음이항 분포(Negative binomial distribution)' 선행 지식
'음이항 분포(Negative binomial distribution)'에 앞서서, '기하분포, 이항분포 그리고 베르누이 시행'에 대해 내용 정리가 필요한 분들은 이전에 발행한 글을 참고해주시기 바랍니다.
2022.01.16 - [DATA_SCIENCE/통계 (Statistics)] - 기하 분포(Geometric distribution) 정리, 공식, 특징
기하 분포(Geometric distribution) 정리, 공식, 특징
안녕하세요, HELLO 각 실험에서 발생 가능한 결과가 단 2가지인 베르누이 시행에서, 기존에 정리한 이항분포, 초기하 분포 그리고 포아송 분포는 성공 결과에 대한 분포를 다뤘습니
hyunhp.tistory.com
2022.01.16 - [DATA_SCIENCE/통계 (Statistics)] - 이항분포(Binomial distribution) 정리, 공식, 특징
이항분포(Binomial distribution) 정리, 공식, 특징
안녕하세요, HELLO 성공할 확률이 p인 베르누이 시행(각 실험에서 발생 가능한 결과가 단 2가지인 경우)를 n 번 반복했을 때 성공 횟수(X)의 분포를 이항분포 (binomial distribution)이라고 합니다. 오늘
hyunhp.tistory.com
2022.01.16 - [DATA_SCIENCE/통계 (Statistics)] - 베르누이 시행(Bernoulli trial) 정리, 공식, 특징
베르누이 시행(Bernoulli trial) 정리, 공식, 특징
안녕하세요, HELLO 각 실험에서 발생 가능한 결과가 (성공, 실패), (앞면, 뒷면) 등으로 단 2가지인 경우를 베르누이 시행(Bernoulli trial)이라고 합니다. 오늘은 독립 시행에 대표적인 베르누이 시행,
hyunhp.tistory.com
CHAPTER 2. '음이항 분포(Negative binomial distribution)' 정리
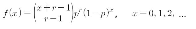
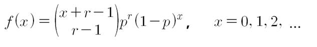
음이항 분포(Negative binomial distribution)는 베르누이 시행을 'r 번' 성공할 때까지 시행하는 경우의 실패(시행) 횟수의 분포를 의미합니다. 이를 실패 횟수와 시행 횟수 두 가지 관점으로 정리할 수 있습니다.
□ 실패 횟수
실패 횟수에 대한 확률분포를 X에 대해, 실패 횟수 x와 r 번의 성공 횟수를 더한 (x + r) 번째는 S (성공)이 됩니다. 이때, (x + r − 1) 번째까지의 결과에서 성공 횟수는 목표하는 r 개에서 1개 부족한 (r − 1) 개, 실패 횟수는 x 개가 존재합니다. 이를 정리하면 실패 횟수 관점에서 확률질량함수는 다음과 같습니다.

실패가 한 번도 없이 바로 성공할 수 있기에, 실패 횟수에 대한 확률 분포는 0부터 시작합니다.
□ 시행 횟수
시행 횟수에 대한 확률분포를 Y라고 하면, Y는 실패 횟수에 성공 횟수를 더한 (Y = X + r) 값이 됩니다. 이때 Y = y라고 하면, 실패 횟수에 성공 횟수를 더한 y 번째는 S(성공)입니다. 이때, (y − 1) 번째까지의 결과에서 성공 횟수는 r 개에서 1개 부족한 (r − 1) 개, 실패 횟수는 (y - r) 개가 존재합니다. 이를 정리하면 시행 횟수 관점에서 확률질량함수는 다음과 같습니다.

음이항 분포에서 시행 횟수는 r 번 성공할 때까지 진행되기에, 시행 횟수에 대한 확률 분포는 r부터 시작합니다.
CHAPTER 3. '음이항 분포(Negative binomial distribution)' 공식 및 특징
위 내용을 바탕으로 음이항 분포의 기댓값은 아래에 같이 정리됩니다.

그리고 표본평균과 표본 분산의 차이가 심할 경우에는 포아송 분포를 사용하기 어렵습니다. 이 경우에는 포아송 분포의 대안으로 음이항 분포의 계산으로 기댓값을 구할 수 있습니다.
추가적으로, 표본의 크기가 크며, 확률이 매우 작은 베르누이 시행인 포아송 분포에 대해 궁금하신 분은 아래 포스팅을 참고하시기 바랍니다.
2022.01.16 - [DATA_SCIENCE/통계 (Statistics)] - 포아송 분포(Poisson distribution) 정리, 공식, 특징
포아송 분포(Poisson distribution) 정리, 공식, 특징
안녕하세요, HELLO 이항분포에서 표본의 크기가 매우 크고, 확률이 매우 작은 경우에는 계산하기가 어렵습니다. 이러한 경우에는 이항분포와 계산 결과가 유사한 '포아송 분포(poisson distribution)'
hyunhp.tistory.com
■ 마무리
'음이항 분포'의 공식 및 특징 등에 대해서 정리해봤습니다.
그럼 오늘 하루도 즐거운 나날 되길 기도하겠습니다
좋아요와 댓글 부탁드립니다 :)
감사합니다.
'STUDY > Statistics' 카테고리의 다른 글
| 다항 분포 (Mulitinomial distribution) 정리, 공식, 특징 (0) | 2022.01.16 |
|---|---|
| 기하 분포(Geometric distribution) 정리, 공식, 특징 (1) | 2022.01.16 |
| 포아송 분포(Poisson distribution) 정리, 공식, 특징 (0) | 2022.01.16 |
| 초기하 분포(Hypergeometric distribution) 정리, 공식, 특징 (0) | 2022.01.16 |
| 이항분포(Binomial distribution) 정리, 공식, 특징 (0) | 2022.01.16 |
댓글