
안녕하세요, HELLO
이항분포에서 표본의 크기가 매우 크고, 확률이 매우 작은 경우에는 계산하기가 어렵습니다. 이러한 경우에는 이항분포와 계산 결과가 유사한 '포아송 분포(poisson distribution)'를 활용하면 계산을 용이하게 할 수 있습니다. 오늘은 '포아송 분포'에 대해서 살펴보려고 합니다.
CHAPTER 1. '포아송 분포(poisson distribution)' 선행 지식
CHAPTER 2. '포아송 분포(poisson distribution)' 정리
CHAPTER 3. '포아송 분포(poisson distribution)' 공식 및 특징
CHAPTER 1. '포아송 분포(poisson distribution)' 선행 지식
'포아송 분포(poisson distribution)'에 앞서서, '이항분포'에 대해 내용 정리가 필요한 분들은 이전에 발행한 글을 참고해주시기 바랍니다.
2022.01.16 - [DATA_SCIENCE/통계 (Statistics)] - 이항분포(Binomial distribution) 정리, 공식, 특징
이항분포(Binomial distribution) 정리, 공식, 특징
안녕하세요, HELLO 성공할 확률이 p인 베르누이 시행(각 실험에서 발생 가능한 결과가 단 2가지인 경우)를 n 번 반복했을 때 성공 횟수(X)의 분포를 이항분포 (binomial distribution)이라고 합니다. 오늘
hyunhp.tistory.com
CHAPTER 2. '포아송 분포(poisson distribution)' 정리
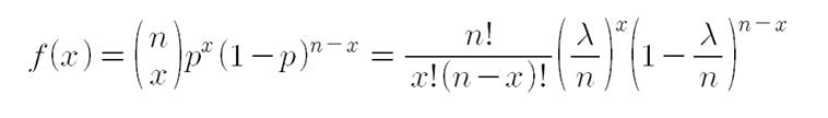
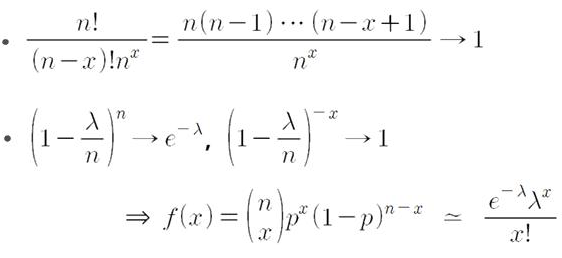
이항분포에서 n이 매우 크고, p가 작은 경우에는 계산하기가 어렵습니다. 이런 경우에는 포아송 분포를 이용하여 이항분포의 근사 확률을 구해서 계산할 수 있습니다. 이항분포의 기댓값 E(X) = λ = np라고 하면, p = λ/n이라고 할 수 있습니다. λ는 람다, lambda라고 읽습니다. 이를 바탕으로 포아송 분포의 확률질량함수를 유도할 수 있습니다.

이때 n 값이 충분히 커지면, 아래와 같이 포아송 분포의 확률질량함수는 정의됩니다.

n과 p의 값을 '동시에' 고려하여, λ = np < 5이면 포아송 근사 확률을 사용해도 문제가 없습니다.
이러한 포아송 분포의 조건은 아래와 같습니다.
1. 발생 가능성이 희박한 사건이 임의의 구간에서 평균적으로 λ번 발생
2. 구간을 나누었을 때 각 구간의 발생 빈도는 서로 독립 (independent increment)
3. 구간의 위치와 관계없이 동일 길이의 구간에서의 평균 발생 빈도는 동일 (stationary increment)
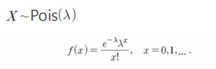
위의 상황에서 해당 사건이 일어날 횟수를 X라고 하면 포아송 분포는 다음과 같이 표기합니다.

CHAPTER 3. '포아송 분포(poisson distribution)' 공식 및 특징
포아송 분포의 가장 큰 특징은 평균 E(X)과 분산 Var(X)이 λ로 동일한 것입니다.


그리고 확률변수 X와 Y가 포아송 분포를 따르고 독립이면, (X + Y)도 동일하게 포아송분포를 따릅니다. 이는 이항분포의 성질과 동일하게 두 확률변수 X와 Y가 각각 X ~ B(n, p), Y ~ B(m, p)이고 서로 독립이라면, 확률변수 X와 Y의 합인 시행 횟수 n+m, 성공 확률이 p인 베르누이 시행을 한 확률변수로 간주하기 때문입니다.

■ 마무리
'포아송 분포(poisson distribution)'의 공식 및 특징 등에 대해서 정리해봤습니다.
그럼 오늘 하루도 즐거운 나날 되길 기도하겠습니다
좋아요와 댓글 부탁드립니다 :)
감사합니다.
'STUDY > Statistics' 카테고리의 다른 글
| 음이항 분포(Negative Binomial Distribution) 정리, 공식, 특징 (1) | 2022.01.16 |
|---|---|
| 기하 분포(Geometric distribution) 정리, 공식, 특징 (1) | 2022.01.16 |
| 초기하 분포(Hypergeometric distribution) 정리, 공식, 특징 (0) | 2022.01.16 |
| 이항분포(Binomial distribution) 정리, 공식, 특징 (0) | 2022.01.16 |
| 베르누이 시행(Bernoulli trial) 정리, 공식, 특징 (0) | 2022.01.16 |
댓글