
안녕하세요, HELLO
오늘은 k-mooc에 업로드된 "미적분학 (성균관대학교 수학과 채영도 교수님)"에서 '지수함수, 로그함수, 삼각함수, 역삼각 함수'에 대해 공부한 내용을 바탕으로 정리했습니다. 이를 바탕으로 '지수함수, 로그함수, 삼각함수, 역삼각 함수' 개념과 정의에 대해서 살펴보고자 합니다.
STEP 1. '함수 (function)' 선행 지식
STEP 2. '지수함수 (exponential function), 로그함수 (log function)' 개념
STEP 3. '삼각함수 (trigonometric function), 역삼각함수 (inverse trigonometric function)' 개념
STEP 1. '함수 (function)' 선행 지식
'지수함수, 로그함수, 삼각함수, 역삼각함수'에 앞서서, 우선 집합 (set)은 수학적 적용이 가능하도록 명확한 조건을 충족하는 개체들의 모임입니다. 그리고 함수 (function)는 집합 A를 정의역, B를 공역으로 하는 A에서 B로의 함수 f: A → B의 각각의 점 x를 B의 어떤 한 점 f(x)로만 대응하는 규칙을 의미합니다.

STEP 2. '지수함수 (exponential function), 로그함수 (log function)' 개념
지수함수 (exponential function)는 거듭제곱의 지수를 변수로 하고, 정의역을 실수 전체로 정의하는 함수입니다. 지수함수를 활용한 대표적인 모델로는 인구예측 모델, 탄소 연대 측정 모델 등이 있습니다.
추가적으로, (0, 1)에서의 접선의 기울기가 1인 경우의 a 값을, e라고 표기하고 오일러 상수 e라고 합니다.

로그함수 (log function)은 지수함수의 역함수로, 아래와 같이 지수함수적으로 정의됩니다. 이때, a ≠1인 이유는, 지수함수가 상수 함수가 되어 역함수를 가질 수 없기에 a는 1이 되면 안 됩니다.
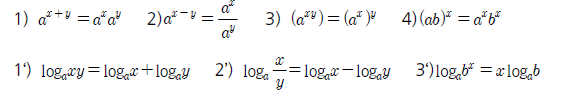
지수함수와 로그함수의 연산법은 다음과 같습니다.

STEP 3. '삼각함수 (trigonometric function), 역삼각 함수 (inverse trigonometric function)' 개념
삼각함수는 각의 크기를 삼각비로 나타내는 함수이며, 3개의 기본적인 사인(sine), 코사인(cosine), 탄젠트(tangent) 함수가 있습니다. 삼각함수에는 다음과 같은 공식이 있습니다.

위 공식을 바탕으로 사인(sine) 법칙과 코사인(cosine) 법칙을 정의할 수 있습니다.
우선, 사인 법칙은 임의의 삼각형 ABC에서 각 A, B, C의 대변 a, b, c에 대해 다음과 같은 관계를 만족합니다.

코사인 법칙은 총 두 가지 법칙이 있으며, 각각 코사인 제1법칙과 제2법칙이라고 합니다.

코사인 법칙은 두 변의 길이와 끼인각의 크기를 알 때 삼각형의 나머지 한 변의 길이를 구할 때 유용하게 쓸 수 있습니다. 그리고 모든 변의 길이를 알고 있을 때 각의 코사인 값을 구할 때에도 사용할 수 있습니다.
이어서 역삼각함수는 삼각 함수의 역함수입니다. 삼각 함수는 단사 함수(일대일 대응 함수)가 아니기 때문에 역함수를 정의하기 위해서 정의역을 제한할 필요가 있습니다. 아래는 역삼각 함수들의 정의와 표기법, 정의역과 치역들을 나타낸 표입니다.

■ 마무리
오늘은 지수함수, 로그함수, 삼각함수, 역삼각함수의 개념과 정의에 대해서 알아봤습니다.
그럼 오늘 하루도 즐거운 나날 되시길 기도하겠습니다.
좋아요와 댓글 부탁드립니다 :)
감사합니다.
'STUDY > Statistics' 카테고리의 다른 글
| 확률변수 (Random vairable), 확률분포 (Probability distribution) 정리, 공식, 특징 (0) | 2022.01.14 |
|---|---|
| 독립 사건 (Independent event) 정리, 공식, 특징 (2) | 2022.01.14 |
| 조건부 확률 (conditional probability) 정리, 공식, 구조 (0) | 2022.01.13 |
| 확률 (Probability) 정리, 공식, 구조 (0) | 2022.01.13 |
| 함수(Function) 정리, 공식, 구조 (0) | 2022.01.13 |
댓글