
안녕하세요, HELLO
오늘은 Duke university에서 진행하는 기초 수학 강의인 "Data Science Math Skills"를 정리하려고 합니다. "Data Science Math Skills"의 강의 목적은 '수학 기호, 정의 등의 설명'을 통해 '데이터 사이언스를 위한 기초 수학 지식'을 쌓기 위함이며, 강의는 아래와 같이 구성되어 있습니다.
~Set theory, including Venn diagrams
~Properties of the real number line
~Interval notation and algebra with inequalities
~Uses for summation and Sigma notation
~Math on the Cartesian (x,y) plane, slope and distance formulas
~Graphing and describing functions and their inverses on the x-y plane,
~The concept of instantaneous rate of change and tangent lines to a curve
~Exponents, logarithms, and the natural log function
~Probability theory, including Bayes’ theorem.
"Data Science Math Skills" (Duke University)의 3주차 "Exponents, logarithms, and the natural log function"의 강의 내용입니다.
CHAPTER 1. 'Using Integer Exponents'
CHAPTER 2. 'Simplication Rules for Algebra Using Exponents'
CHAPTER 3. 'How Logarithms and Exponents Are Related'
CHAPTER 4. 'The Change of Base Formula'
CHAPTER 5. 'The Rate of Growth of Continuous Processes'
CHAPTER 1. 'Using Integer Exponents'
□ Positive Integer Exponents

□ Zero as an Exponent
지수의 법칙에 의해, 0을 제외한 숫자의 0제곱은 항상 1입니다. 이때, 0의 0제급은 정의하지 않습니다.
By the defnition of exponents, any number, except for zero, raised to the zeroth power is one.

□ Negative Integer Exponents


□ Scientific Notation

CHAPTER 2. 'Simplication Rules for Algebra Using Exponents'
□ Exponent simplification rules

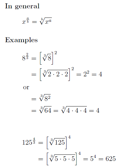
□ Fractional exponents

CHAPTER 3. 'How Logarithms and Exponents Are Related'
□ Introduction

□ Logs of one

□ General rules
로그의 공식에 있어서, 밑수(base) 없이 정리된 공식은 모든 밑수에 대해 성립하는 공식이란 뜻입니다.
그래서 아래의 곱의 법칙(product rule), 몫의 법칙(quotient rule) 그리고 거듭제곱과 근의 법칙(power and root rule)에 대해서는 모든 밑수에 대해 성립힙니다.

CHAPTER 4. 'The Change of Base Formula'
□ Introduction

CHAPTER 5. 'The Rate of Growth of Continuous Processes'
□ Introduction

□ Continuous exponential growth
오일러 상수 (Euler's constant)는 e = 2.71828로 표기합니다. 이때, 오일러 상수를 밑(base)으로 하는 로그를 '자연로그(natural logarithm)'라고 하며, ln(x)로 표기합니다. 자연로그는 '자연적으로 일어나는 연속형(continuous) 성장율'을 계산할 때 사용됩니다.

■ 마무리
"Data Science Math Skills" (Duke University)의 3주차 "Exponents, logarithms, and the natural log function"의 강의 내용입니다.
그럼 오늘 하루도 즐거운 나날 되길 기도하겠습니다
좋아요와 댓글 부탁드립니다 :)
감사합니다.
댓글