
안녕하세요, HELLO
오늘은 Duke university에서 진행하는 기초 수학 강의인 "Data Science Math Skills"를 정리하려고 합니다. "Data Science Math Skills"의 강의 목적은 '수학 기호, 정의 등의 설명'을 통해 '데이터 사이언스를 위한 기초 수학 지식'을 쌓기 위함이며, 강의는 아래와 같이 구성되어 있습니다.
~Set theory, including Venn diagrams
~Properties of the real number line
~Interval notation and algebra with inequalities
~Uses for summation and Sigma notation
~Math on the Cartesian (x,y) plane, slope and distance formulas
~Graphing and describing functions and their inverses on the x-y plane,
~The concept of instantaneous rate of change and tangent lines to a curve
~Exponents, logarithms, and the natural log function.
~Probability theory, including Bayes’ theorem.
"Data Science Math Skills" (Duke University)의 3주차 "The concept of instantaneous rate of change and tangent lines to a curve"의 강의 내용입니다.
CHAPTER 1. 'The Slope of a Graph at a Point'
CHAPTER 2. 'The Derivative Function'
CHAPTER 3. 'The concept of instantaneous rate of change and tangent lines to a curve 연습문제'
CHAPTER 1. 'The Slope of a Graph at a Point'
□ Introduction
접선의 기울기(tangent line)는 함수의 순간 변화율(instantaneous rate of change)을 나타내며, 이를 다른 용어로 도함수(derivative of function)이라고 합니다.


□ Calculus


CHAPTER 2. 'The Derivative Function'
□ Introduction


□ Calculate derivative


□ Graph of derivative function
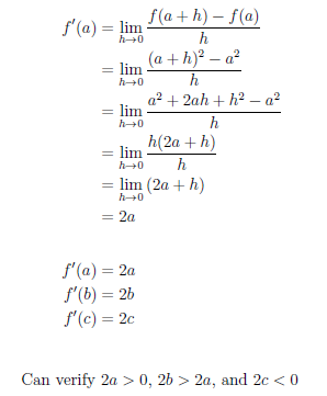
보통 미분 값을 숫자로 생각하지만, 미분 값은 '그래프에서 기울기'인 그래프(도함수)를 나타냅니다.
아래 그래프에서 도함수 y=2x가 의미하는 것은, 임의의 점 a에 대해 f(a)의 순간 변화율을 나타내는 그래프입니다.

CHAPTER 3. 'The concept of instantaneous rate of change and tangent lines to a curve 연습문제'
■ 질문 1

■ 질문 2

■ 마무리
"Data Science Math Skills" (Duke University)의 3주차 "The concept of instantaneous rate of change and tangent lines to a curve"의 강의 내용입니다.
그럼 오늘 하루도 즐거운 나날 되길 기도하겠습니다
좋아요와 댓글 부탁드립니다 :)
감사합니다.


댓글