
안녕하세요, HELLO
오늘은 Duke university에서 진행하는 기초 수학 강의인 "Data Science Math Skills"를 정리하려고 합니다. "Data Science Math Skills"의 강의 목적은 '수학 기호, 정의 등의 설명'을 통해 '데이터 사이언스를 위한 기초 수학 지식'을 쌓기 위함이며, 강의는 아래와 같이 구성되어 있습니다.
~Set theory, including Venn diagrams 
~Properties of the real number line 
~Interval notation and algebra with inequalities 
~Uses for summation and Sigma notation 
~Math on the Cartesian (x,y) plane, slope and distance formulas 
~Graphing and describing functions and their inverses on the x-y plane, 
~The concept of instantaneous rate of change and tangent lines to a curve 
~Exponents, logarithms, and the natural log function. 
~Probability theory, including Bayes’ theorem.
"Data Science Math Skills" (Duke University)의 1주차 "Uses for summation and Sigma notation"의 강의 내용입니다.
CHAPTER 1. 'Introduction to Summation'
CHAPTER 2. 'Simplification Rules'
CHAPTER 3. 'Mean and Variance'
CHAPTER 4. 'Uses for summation and Sigma notation 연습문제'
CHAPTER 1. 'Introduction to Summation'
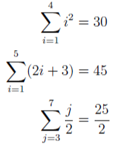
□ Sigma notation
합산 표기법인 시그마(sigma)는 아래처럼 순차적으로 합산됩니다.


시그마 기호 아래 첨자인 i, j를 더미 인덱스(dummy index)라고 부릅니다. 더미 인덱스는 특별한 의미를 가지고 있지 않으며, 시그마 기호의 영향을 받지 않습니다. 시그마에 적용되는 시작점과 종료점을 의미하며, i, j, k, l 등 자유롭게 사용 가능합니다.
CHAPTER 2. 'Simplification Rules'
□ Distributive property

□ Commutative property

□ Summation of constants

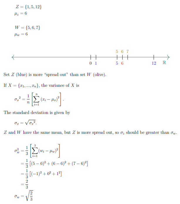
CHAPTER 3. 'Mean and Variance'
□ Introduction

□ Mean


□ Mean centering

□ Variance


CHAPTER 4. 'Uses for summation and Sigma notation 연습문제'
■ 질문 1

■ 질문 2

■ 질문 3

■ 질문 4

■ 질문 5

■ 질문 6

■ 마무리
"Data Science Math Skills" (Duke University)의 1주차 "Uses for summation and Sigma notation"의 강의 내용입니다.
그럼 오늘 하루도 즐거운 나날 되길 기도하겠습니다
좋아요와 댓글 부탁드립니다 :)
감사합니다.






 
										
									 
										
									 
										
									 
										
									
댓글