
안녕하세요, HELLO
오늘은 Duke university에서 진행하는 기초 수학 강의인 "Data Science Math Skills"를 정리하려고 합니다. "Data Science Math Skills"의 강의 목적은 '수학 기호, 정의 등의 설명'을 통해 '데이터 사이언스를 위한 기초 수학 지식'을 쌓기 위함이며, 강의는 아래와 같이 구성되어 있습니다.
~Set theory, including Venn diagrams
~Properties of the real number line
~Interval notation and algebra with inequalities
~Uses for summation and Sigma notation
~Math on the Cartesian (x,y) plane, slope and distance formulas
~Graphing and describing functions and their inverses on the x-y plane,
~The concept of instantaneous rate of change and tangent lines to a curve
~Exponents, logarithms, and the natural log function.
~Probability theory, including Bayes’ theorem.
"Data Science Math Skills" (Duke University)의 1주차 "Interval notation and algebra with inequalities"의 강의 내용입니다.
CHAPTER 1. 'Intervals and Interval Notation'
CHAPTER 2. 'Algebra with Inequalities'
CHAPTER 3. 'Properties of the real number line, Interval notation and algebra with inequalities 연습문제'
CHAPTER 1. 'Intervals and Interval Notation'
□ Closed intervals
폐구간(closed intervals)은 [x, y]로 표기하며, x와 y를 포함합니다. 무한집합인 실수 구간에서의 폐구간은 마찬가지로 무한집합을 이룹니다. 그래프에서는 ●로 폐구간을 표시합니다.

□ Open intervals
개구간(open intervals)은 (x, y)로 표기하며, x와 y를 제외합니다. 무한집합인 실수 구간에서의 개구간은 마찬가지로 무한집합을 이룹니다. 그래프에서는 ○로 개구간을 표시합니다.

□ Half-open intervals
반개구간, 반폐구간(half-open intervals, half-closed intervals)은(x, y] 또는 [x, y)로 표기하며,폐구간과 개구간에 따라 한쪽만 포함 그리고 제외합니다.무한집합인 실수 구간에서의 반개구간, 반폐구간은 마찬가지로 무한집합을 이룹니다. 그래프에서는 ○로 개구간을, ●로 폐구간을 표시합니다

□ Rays
개구간과 폐구간을 활용해서, x > 2와 같은 범위에 대한 구간을 다르게 표현할 수 있습니다.

CHAPTER 2. 'Algebra with Inequalities'
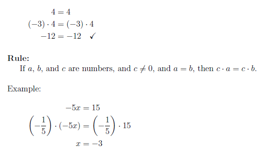
□ Algebra with equalities
부등식을 활용한 대수학(algebra)은 당연한 수학 개념, 공리적 정의에 대해서 간략하게 정리합니다. 그리고 이후에 세부적으로 선형대수학을 정리할 예정입니다.


□ Algebra with equalities



CHAPTER 3. 'Properties of the real number line; Interval notation and algebra with inequalities 연습문제'
이전에 공부한 '실직선의 속성'을 포함해서, '구간 표기법과 부등식' 연습 문제를 정리하겠습니다. '실직선의 속성'에 대해서 궁금하신 분은 아래 포스팅을 참고하시기 바랍니다.
week 1_실직선의 속성 (Properties of the real number line)
안녕하세요, HELLO 오늘은 Duke university에서 진행하는 기초 수학 강의인 "Data Science Math Skills"를 정리하려고 합니다. "Data Science Math Skills"의 강의 목적은 '수학 기호, 정의 등의 설명'을 통..
hyunhp.tistory.com
■ 질문 1

■ 질문 2

■ 질문 3

■ 질문 4

■ 질문 5

■ 질문 6

■ 질문 7

■ 질문 8

■ 마무리
"Data Science Math Skills" (Duke University)의 1주차 "Interval notation and algebra with inequalities"의 강의 내용입니다.
그럼 오늘 하루도 즐거운 나날 되길 기도하겠습니다
좋아요와 댓글 부탁드립니다 :)
감사합니다.
'COURSERA' 카테고리의 다른 글
| week 2_데카르트 좌표계, 직선 방정식 (Math on the Cartesian (x,y) plane, slope and distance formulas) (0) | 2022.01.18 |
|---|---|
| week 1_시그마 표기법 (Uses for summation and Sigma notation) (0) | 2022.01.18 |
| week 1_실직선의 속성 (Properties of the real number line) (1) | 2022.01.17 |
| week 1_집합론의 기초 (Set theory, including Venn diagrams) (0) | 2022.01.17 |
| [COURSERA] Data Science Math Skills (Duke University) (0) | 2022.01.17 |








댓글