
안녕하세요, HELLO
오늘은 Duke university에서 진행하는 기초 수학 강의인 "Data Science Math Skills"를 정리하려고 합니다. "Data Science Math Skills"의 강의 목적은 '수학 기호, 정의 등의 설명'을 통해 '데이터 사이언스를 위한 기초 수학 지식'을 쌓기 위함이며, 강의는 아래와 같이 구성되어 있습니다.
~Set theory, including Venn diagrams
~Properties of the real number line
~Interval notation and algebra with inequalities
~Uses for summation and Sigma notation
~Math on the Cartesian (x, y) plane, slope and distance formulas
~Graphing and describing functions and their inverses on the x-y plane,
~The concept of instantaneous rate of change and tangent lines to a curve
~Exponents, logarithms, and the natural log function.
~Probability theory, including Bayes’ theorem.
"Data Science Math Skills" (Duke University)의 1주차 "Set theory, including Venn diagrams"의 강의 내용입니다.
CHAPTER 1. 'Sets: Basics and Vocabulary'
CHAPTER 2. 'Sets: Medical Testing Example'
CHAPTER 3. 'Sets: Venn Diagrams'
CHAPTER 4. 'Practice quiz on Sets'
CHAPTER 1. 'Sets: Basics and Vocabulary'
□ What is a set?
집합은 객체들의 모임(A set is a collection of things)으로 원소들의 모임을 중괄호를 써서 표현합니다.
- Vocab: A set is made up of elements.

□ Cardinality
집합의 크기(Cardinality)는 집합의 원소의 숫자로 측정하며, |A|와 같이 표현합니다
- Vocab: The cardinality (size) of a set is the number of elements in it.

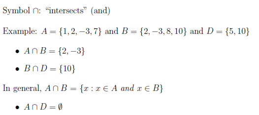
□ Intersections
교집합(Intersections)은 서로 다른 집합에 공통적으로 속한 원소입니다.
- Vocab: The intersection is dened as elements that are in both sets.
- If there are no elements in common, the answer is the empty set ø. The cardinality of the empty set ø = 0

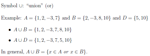
□ Unions
합집합(Unions)은 서로 다른 집합 중 적어도 한 곳에 속한 원소입니다.
- Vocab: The union is dened as elements that are in either set.

CHAPTER 2. 'Sets: Medical Testing Example'
질병 진단의 경우를 예를 들어 집합을 정리해보겠습니다. VBS(very bad syndrome) 질병 진단을 받는 사람의 집합을 X 그리고 그중에서 건강한 사람인 경우 H, 질병이 있는 경우 S란 집합에서, 집합의 구성은 아래와 같습니다.

이때 질병 진단 결과, 질병이 있는 경우 양성반응이면 P(positive), 없는 경우 음성 반응이면 N(negative)일 경우, 아래와 같이 정리할 수 있습니다. 추가적으로 양성(+, positive)이란 표현 때문에, 양성 반응이면 건강에 좋은 것 아니냐고 생각해 헷갈릴 수 있지만, 질병 진단에서 목표(target)하는 결과가 나오는 경우 이를 도출했다고 양성으로 기록합니다.

위 내용을 바탕으로, 질병 진단 결과에 따라 S, H 집합과 P, N 집합의 조합으로 총 4개의 결과가 도출됩니다.
집합의 크기(cardinality)는 4개의 조합에 따라 아래와 같이 정리됩니다.

CHAPTER 3. 'Sets: Venn Diagrams'
벤다이어그램은 시각화를 통해 집합의 형태를 파악하는 데 용이합니다. CHAPTER 2. 'Sets: Medical Testing Example'에서 공부한 진단 결과 내용의 집합을 바탕으로, 아래와 같이 벤다이어그램을 그릴 수 있습니다. 이때 눈여겨볼 점은 하나의 그림에서 서로 다른 집합을 모아서 그렸고, 이를 통해 위음성(false negative)과 위양성(true positive)의 집합 내 위치를 확인할 수 있습니다.

CHAPTER 4. 'Practice quiz on Sets'
■ 질문 1

■ 질문 2

■ 질문 3

■ 마무리
"Data Science Math Skills" (Duke University)의 1주차 "Set theory, including Venn diagrams"에 대해서 정리해봤습니다.
그럼 오늘 하루도 즐거운 나날 되길 기도하겠습니다
좋아요와 댓글 부탁드립니다 :)
감사합니다.
'COURSERA' 카테고리의 다른 글
| week 2_데카르트 좌표계, 직선 방정식 (Math on the Cartesian (x,y) plane, slope and distance formulas) (0) | 2022.01.18 |
|---|---|
| week 1_시그마 표기법 (Uses for summation and Sigma notation) (0) | 2022.01.18 |
| week 1_구간 표기법 및 부등식 (Interval notation and algebra with inequalities) (0) | 2022.01.18 |
| week 1_실직선의 속성 (Properties of the real number line) (1) | 2022.01.17 |
| [COURSERA] Data Science Math Skills (Duke University) (0) | 2022.01.17 |



댓글