
안녕하세요, HELLO
이산확률변수 (discrete random variable)는 확률변수 X가 유한하여 셀 수 있는 확률변수입니다. 이산확률변수의 예로 '주사위를 던질 때 나올 수 있는 수'와 '한 개의 주사위를 두 번 던질 때 눈금의 합' 등으로 확률변수가 6개, 11개로 유한하기 때문입니다.
반면에, 연속확률변수 (continuous random variable)는 확률변수 X가 어떤 범위에 속하는 모든 실수로 무한해서 셀 수 없는 확률변수입니다. 연속확률변수의 예로 '시간', '학생의 평균 키' 등으로 연속적인 숫자, 무한한 경우 등과 같이 셀 수 없는 경우가 있습니다. 오늘은 이산확률변수와 연속확률변수에 대해서 정리하려고 합니다.
CHAPTER 1. '이산확률변수, 연속확률변수' 선행 지식
CHAPTER 2. '이산확률변수, 연속확률변수' 정리
CHAPTER 3. '누적분포함수' 공식 및 특징
CHAPTER 1. '이산확률변수, 연속확률변수' 선행 지식
'이산확률변수와 연속확률변수'에 앞서서, '확률변수'에 대해 내용 정리가 필요한 분들은 이전에 발행한 글을 참고해주시기 바랍니다.
확률변수 (Random vairable), 확률분포 (Probability distribution) 정리, 공식, 특징
안녕하세요, HELLO 표본공간의 값을 실함수로 표현한 것을 확률변수 (random variable)라고 하며, 확률변수에서 표본공간의 값에 대한 확률을 표시한 것을 확률분포 (probability distribution)라고 합니다.
hyunhp.tistory.com
CHAPTER 2. '이산확률변수, 연속확률변수' 정리
이산확률변수 (discrete random variable)는 확률변수 X가 유한하여 셀 수 있는 확률변수입니다. 이산확률변수에 대응되는 확률 값들의 관계를 확률질량함수(pmf, probability mass function)로 정의하며, 확률질량함수의 성질은 아래와 같습니다.

연속확률변수 (continuous random variable)는 확률변수 X가 어떤 범위에 속하는 모든 실수로 무한해서 셀 수 없는 확률변수입니다. 연속확률변수는 연속적인 숫자이기에 범위를 정하고 그 범위를 확률로써 표현해야 합니다.
이산확률변수와는 다르게 연속확률변수는 범위로 계산을 해야되기에, 연속확률변수 f(x)를 a에서 b까지 적분함으로써 a와 b 구간에서의 확률을 구합니다. 연속확률변수의 확률 값을 구할 때 도입되는 확률분포함수를 확률밀도함수(pdf, probability density function)라고 합니다.

CHAPTER 3. '누적분포함수' 공식 및 특징
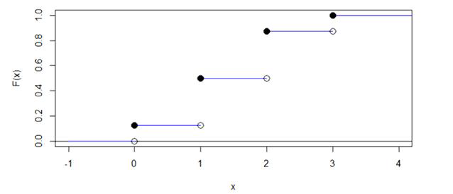
누적분포함수 (cdf, cumulative distribution function)는 확률 변수가 특정 값보다 작거나 같을 확률을 나타내는 함수입니다. 여기서 '누적'은 특정 값보다 작은 값들의 확률을 모두 더해서 구한다는 의미입니다.

동전 세 번 던져 앞면이 나오는 사건에 대해 누적분포함수를 그리면 아래와 같습니다. 그래프에서 볼 수 있듯이 누적분포함수는 항상 연속적으로 그려지지는 않습니다.

하지만 x가 증가함에 따라, 계속해서 누적하여 확률이 더해지기에 그래프는 우연속 (right-continuous) 함을 알 수 있습니다. 이를 종합하면 누적분포함수를 다음과 같이 정리할 수 있습니다.

■ 마무리
'이산확률변수와 연속확률변수'의 공식 및 특징 등에 대해서 정리해봤습니다.
그럼 오늘 하루도 즐거운 나날 되길 기도하겠습니다
좋아요와 댓글 부탁드립니다 :)
감사합니다.
'STUDY > Statistics' 카테고리의 다른 글
| 산포(Dispersion) 정리, 공식, 특징 (0) | 2022.01.14 |
|---|---|
| 결합 분포 (Joint distribution) 정리, 공식, 특징 (0) | 2022.01.14 |
| 확률변수 (Random vairable), 확률분포 (Probability distribution) 정리, 공식, 특징 (0) | 2022.01.14 |
| 독립 사건 (Independent event) 정리, 공식, 특징 (2) | 2022.01.14 |
| 조건부 확률 (conditional probability) 정리, 공식, 구조 (0) | 2022.01.13 |
댓글