본문 바로가기
COURSERA

week 4_Art Generation with Neural Style Transfer 실습 (Andrew Ng)

by HYUNHP 2022. 3. 14.
728x90
반응형

안녕하세요, HELLO

 

오늘은 DeepLearning.AI에서 진행하는 앤드류 응(Andrew Ng) 교수님의 딥러닝 전문화의 네 번째 과정인 "Convolutional Neural Networks"을 정리하려고 합니다.

 

"Convolutional Neural Networks"의 강의를 통해 '자율 주행, 얼굴 인식, 방사선 이미지 인식등을 이해하고, CNN 모델에 대해서 배우게 됩니다. 강의는 아래와 같이 구성되어 있습니다.

 

~ Foundations of Convolutional Neural Networks

~ Deep Convolutional Models: Case Studies

~ Object Detection

~ Special Applications: Face recognition & Neural Style Transfer

 

"Convolutional Neural Networks" (Andrew Ng) 4주차 "Art Generation with Neural Style Transfer"의 실습 내용입니다.


CHAPTER 1. 'Packages'

 

CHAPTER 2. 'Problem Statement'

 

CHAPTER 3. 'Transfer Learning'

 

CHAPTER 4. 'Neural Style Transfer (NST)'

 

CHAPTER 5. 'Solving the Optimization Problem'


CHAPTER 1. 'Packages'

 

import os
import sys
import scipy.io
import scipy.misc
import matplotlib.pyplot as plt
from matplotlib.pyplot import imshow
from PIL import Image
import numpy as np
import tensorflow as tf
from tensorflow.python.framework.ops import EagerTensor
import pprint
%matplotlib inline

 

 

CHAPTER 2. 'Problem Statement'

 

Neural Style Transfer (NST) is one of the most fun and interesting optimization techniques in deep learning. It merges two images, namely: a "content" image (C) and a "style" image (S), to create a "generated" image (G). The generated image G combines the "content" of the image C with the "style" of image S.

 

In this assignment, you are going to combine the Louvre museum in Paris (content image C) with the impressionist style of Claude Monet (content image S) to generate the following image:

 

반응형

 

CHAPTER 3. 'Transfer Learning'

 

Neural Style Transfer (NST) uses a previously trained convolutional network, and builds on top of that. The idea of using a network trained on a different task and applying it to a new task is called transfer learning.

 

You will be using the the epynomously named VGG network from the original NST paper published by the Visual Geometry Group at University of Oxford in 2014. Specifically, you'll use VGG-19, a 19-layer version of the VGG network. This model has already been trained on the very large ImageNet database, and has learned to recognize a variety of low level features (at the shallower layers) and high level features (at the deeper layers).

 

Run the following code to load parameters from the VGG model. This may take a few seconds.

 

tf.random.set_seed(272) # DO NOT CHANGE THIS VALUE
pp = pprint.PrettyPrinter(indent=4)
img_size = 400
vgg = tf.keras.applications.VGG19(include_top=False,
                                  input_shape=(img_size, img_size, 3),
                                  weights='pretrained-model/vgg19_weights_tf_dim_ordering_tf_kernels_notop.h5')

vgg.trainable = False
pp.pprint(vgg)

CHAPTER 4. 'Neural Style Transfer (NST)'

 

Next, you will be building the Neural Style Transfer (NST) algorithm in three steps:

 

  • First, you will build the content cost function  𝐽𝑐𝑜𝑛𝑡𝑒𝑛𝑡(𝐶,𝐺)
  • Second, you will build the style cost function  𝐽𝑠𝑡𝑦𝑙𝑒(𝑆,𝐺) 
  • Finally, you'll put it all together to get  𝐽(𝐺)=𝛼𝐽𝑐𝑜𝑛𝑡𝑒𝑛𝑡(𝐶,𝐺)+𝛽𝐽𝑠𝑡𝑦𝑙𝑒(𝑆,𝐺)/

□ Computing the Content Cost

 

■ Make Generated Image G Match the Content of Image C

 

content_image = Image.open("images/louvre.jpg")
print("The content image (C) shows the Louvre museum's pyramid surrounded by old Paris buildings, against a sunny sky with a few clouds.")
content_image


■ Content Cost Function 𝐽𝑐𝑜𝑛𝑡𝑒𝑛𝑡(𝐶,𝐺) 

# UNQ_C1
# GRADED FUNCTION: compute_content_cost

def compute_content_cost(content_output, generated_output):
    """
    Computes the content cost
    
    Arguments:
    a_C -- tensor of dimension (1, n_H, n_W, n_C), hidden layer activations representing content of the image C 
    a_G -- tensor of dimension (1, n_H, n_W, n_C), hidden layer activations representing content of the image G
    
    Returns: 
    J_content -- scalar that you compute using equation 1 above.
    """
    a_C = content_output[-1]
    a_G = generated_output[-1]
    
    ### START CODE HERE
    
    # Retrieve dimensions from a_G (≈1 line)
    _, n_H, n_W, n_C = a_G.get_shape().as_list()
    
    # Reshape a_C and a_G (≈2 lines)
    a_C_unrolled = tf.reshape(a_C, shape = [_, -1, n_C])
    a_G_unrolled = tf.reshape(a_G, shape = [_, -1, n_C])
    
    # compute the cost with tensorflow (≈1 line)
    J_content = 1/(4 * n_H * n_W * n_C) * tf.reduce_sum(tf.square(tf.subtract(a_C_unrolled, a_G_unrolled)))
    
    ### END CODE HERE
    
    return J_content

 

tf.random.set_seed(1)
a_C = tf.random.normal([1, 1, 4, 4, 3], mean=1, stddev=4)
a_G = tf.random.normal([1, 1, 4, 4, 3], mean=1, stddev=4)
J_content = compute_content_cost(a_C, a_G)
J_content_0 = compute_content_cost(a_C, a_C)
assert type(J_content) == EagerTensor, "Use the tensorflow function"
assert np.isclose(J_content_0, 0.0), "Wrong value. compute_content_cost(A, A) must be 0"
assert np.isclose(J_content, 7.0568767), f"Wrong value. Expected {7.0568767},  current{J_content}"

print("J_content = " + str(J_content))

# Test that it works with symbolic tensors
ll = tf.keras.layers.Dense(8, activation='relu', input_shape=(1, 4, 4, 3))
model_tmp = tf.keras.models.Sequential()
model_tmp.add(ll)
try:
    compute_content_cost(ll.output, ll.output)
    print("\033[92mAll tests passed")
except Exception as inst:
    print("\n\033[91mDon't use the numpy API inside compute_content_cost\n")
    print(inst)


Congrats! You've now successfully calculated the content cost function!

 

What you should remember:

  • The content cost takes a hidden layer activation of the neural network, and measures how different 𝑎(𝐶) and 𝑎(𝐺) are.
  • When you minimize the content cost later, this will help make sure 𝐺 has similar content as 𝐶.

□ Computing the Style Cost

 

For the running example, you will use the following style image:

 

example = Image.open("images/monet_800600.jpg")
example


■ Style Matrix

# UNQ_C2
# GRADED FUNCTION: gram_matrix

def gram_matrix(A):
    """
    Argument:
    A -- matrix of shape (n_C, n_H*n_W)
    
    Returns:
    GA -- Gram matrix of A, of shape (n_C, n_C)
    """  
    ### START CODE HERE
    
    #(≈1 line)
    GA = tf.linalg.matmul(A, A, transpose_b=True)
    
    ### END CODE HERE

    return GA

 

tf.random.set_seed(1)
A = tf.random.normal([3, 2 * 1], mean=1, stddev=4)
GA = gram_matrix(A)

assert type(GA) == EagerTensor, "Use the tensorflow function"
assert GA.shape == (3, 3), "Wrong shape. Check the order of the matmul parameters"
assert np.allclose(GA[0,:], [63.1888, -26.721275, -7.7320204]), "Wrong values."

print("GA = \n" + str(GA))

print("\033[92mAll tests passed")


■ Style Cost

 

You now know how to calculate the Gram matrix. Congrats! Your next goal will be to minimize the distance between the Gram matrix of the "style" image S and the Gram matrix of the "generated" image G

# UNQ_C3
# GRADED FUNCTION: compute_layer_style_cost

def compute_layer_style_cost(a_S, a_G):
    """
    Arguments:
    a_S -- tensor of dimension (1, n_H, n_W, n_C), hidden layer activations representing style of the image S 
    a_G -- tensor of dimension (1, n_H, n_W, n_C), hidden layer activations representing style of the image G
    
    Returns: 
    J_style_layer -- tensor representing a scalar value, style cost defined above by equation (2)
    """
    ### START CODE HERE
    
    # Retrieve dimensions from a_G (≈1 line)
    _, n_H, n_W, n_C = a_G.get_shape().as_list()
    
    # Reshape the images from (n_H * n_W, n_C) to have them of shape (n_C, n_H * n_W) (≈2 lines)
    a_S = tf.transpose(tf.reshape(a_S, ([n_H*n_W, n_C])))
    a_G = tf.transpose(tf.reshape(a_G, ([n_H*n_W, n_C])))

    # Computing gram_matrices for both images S and G (≈2 lines)
    GS = gram_matrix(a_S)
    GG = gram_matrix(a_G)

    # Computing the loss (≈1 line)
    J_style_layer = 1/(4 * n_C**2 * (n_H * n_W)**2 ) * tf.reduce_sum(tf.square(tf.subtract(GS, GG)))
    #J_style_layer = None
    
    ### END CODE HERE
    
    return J_style_layer

 

tf.random.set_seed(1)
a_S = tf.random.normal([1, 4, 4, 3], mean=1, stddev=4)
a_G = tf.random.normal([1, 4, 4, 3], mean=1, stddev=4)
J_style_layer_GG = compute_layer_style_cost(a_G, a_G)
J_style_layer_SG = compute_layer_style_cost(a_S, a_G)


assert type(J_style_layer_GG) == EagerTensor, "Use the tensorflow functions"
assert np.isclose(J_style_layer_GG, 0.0), "Wrong value. compute_layer_style_cost(A, A) must be 0"
assert J_style_layer_SG > 0, "Wrong value. compute_layer_style_cost(A, B) must be greater than 0 if A != B"
assert np.isclose(J_style_layer_SG, 14.017805), "Wrong value."

print("J_style_layer = " + str(J_style_layer_SG))


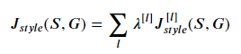
■ Style Weights

 

  • So far you have captured the style from only one layer.
  • You'll get better results if you "merge" style costs from several different layers.
  • Each layer will be given weights (𝜆[𝑙]) that reflect how much each layer will contribute to the style.
  • After completing this exercise, feel free to come back and experiment with different weights to see how it changes the generated image 𝐺.
  • By default, give each layer equal weight, and the weights add up to 1. (∑𝐿𝑙𝜆[𝑙]=1)

 

STYLE_LAYERS = [
    ('block1_conv1', 0.2),
    ('block2_conv1', 0.2),
    ('block3_conv1', 0.2),
    ('block4_conv1', 0.2),
    ('block5_conv1', 0.2)]

You can combine the style costs for different layers as follows, where the values for 𝜆[𝑙] are given in STYLE_LAYERS.

def compute_style_cost(style_image_output, generated_image_output, STYLE_LAYERS=STYLE_LAYERS):
    """
    Computes the overall style cost from several chosen layers
    
    Arguments:
    style_image_output -- our tensorflow model
    generated_image_output --
    STYLE_LAYERS -- A python list containing:
                        - the names of the layers we would like to extract style from
                        - a coefficient for each of them
    
    Returns: 
    J_style -- tensor representing a scalar value, style cost defined above by equation (2)
    """
    
    # initialize the overall style cost
    J_style = 0

    # Set a_S to be the hidden layer activation from the layer we have selected.
    # The last element of the array contains the content layer image, which must not to be used.
    a_S = style_image_output[:-1]

    # Set a_G to be the output of the choosen hidden layers.
    # The las element of the list contains the content layer image which must not to be used.
    a_G = generated_image_output[:-1]
    for i, weight in zip(range(len(a_S)), STYLE_LAYERS):  
        # Compute style_cost for the current layer
        J_style_layer = compute_layer_style_cost(a_S[i], a_G[i])

        # Add weight * J_style_layer of this layer to overall style cost
        J_style += weight[1] * J_style_layer

    return J_style

How do you choose the coefficients for each layer? The deeper layers capture higher-level concepts, and the features in the deeper layers are less localized in the image relative to each other. So if you want the generated image to softly follow the style image, try choosing larger weights for deeper layers and smaller weights for the first layers. In contrast, if you want the generated image to strongly follow the style image, try choosing smaller weights for deeper layers and larger weights for the first layers.

 

What you should remember:

  • The style of an image can be represented using the Gram matrix of a hidden layer's activations.
  • You get even better results by combining this representation from multiple different layers.
  • This is in contrast to the content representation, where usually using just a single hidden layer is sufficient.
  • Minimizing the style cost will cause the image 𝐺G to follow the style of the image 𝑆.

□ Defining the Total Cost to Optimize

 

Finally, you will create a cost function that minimizes both the style and the content cost. The formula is:

# UNQ_C4
# GRADED FUNCTION: total_cost
@tf.function()
def total_cost(J_content, J_style, alpha = 10, beta = 40):
    """
    Computes the total cost function
    
    Arguments:
    J_content -- content cost coded above
    J_style -- style cost coded above
    alpha -- hyperparameter weighting the importance of the content cost
    beta -- hyperparameter weighting the importance of the style cost
    
    Returns:
    J -- total cost as defined by the formula above.
    """
    ### START CODE HERE
    
    #(≈1 line)
    J = alpha * J_content + beta * J_style
    
    ### START CODE HERE

    return J

 

J_content = 0.2    
J_style = 0.8
J = total_cost(J_content, J_style)

assert type(J) == EagerTensor, "Do not remove the @tf.function() modifier from the function"
assert J == 34, "Wrong value. Try inverting the order of alpha and beta in the J calculation"
assert np.isclose(total_cost(0.3, 0.5, 3, 8), 4.9), "Wrong value. Use the alpha and beta parameters"

np.random.seed(1)
print("J = " + str(total_cost(np.random.uniform(0, 1), np.random.uniform(0, 1))))

print("\033[92mAll tests passed")

What you should remember:

  • The total cost is a linear combination of the content cost 𝐽𝑐𝑜𝑛𝑡𝑒𝑛𝑡(𝐶,𝐺) and the style cost 𝐽𝑠𝑡𝑦𝑙𝑒(𝑆,𝐺).
  • 𝛼 and 𝛽 are hyperparameters that control the relative weighting between content and style.

CHAPTER 5. 'Solving the Optimization Problem'

 

Finally, you get to put everything together to implement Neural Style Transfer!

Here's what your program be able to do:

  1. Load the content image
  2. Load the style image
  3. Randomly initialize the image to be generated
  4. Load the VGG19 model
  5. Compute the content cost
  6. Compute the style cost
  7. Compute the total cost
  8. Define the optimizer and learning rate

Here are the individual steps in detail.


□ Load the Content Image

 

Run the following code cell to load, reshape, and normalize your "content" image C (the Louvre museum picture):

 

content_image = np.array(Image.open("images/louvre_small.jpg").resize((img_size, img_size)))
content_image = tf.constant(np.reshape(content_image, ((1,) + content_image.shape)))

print(content_image.shape)
imshow(content_image[0])
plt.show()


□ Load the Style Image

 

Now load, reshape and normalize your "style" image (Claude Monet's painting):

style_image =  np.array(Image.open("images/monet.jpg").resize((img_size, img_size)))
style_image = tf.constant(np.reshape(style_image, ((1,) + style_image.shape)))

print(style_image.shape)
imshow(style_image[0])
plt.show()


□ Randomly Initialize the Image to be Generated

 

Now, you get to initialize the "generated" image as a noisy image created from the content_image.

  • The generated image is slightly correlated with the content image.
  • By initializing the pixels of the generated image to be mostly noise but slightly correlated with the content image, this will help the content of the "generated" image more rapidly match the content of the "content" image.
generated_image = tf.Variable(tf.image.convert_image_dtype(content_image, tf.float32))
noise = tf.random.uniform(tf.shape(generated_image), -0.25, 0.25)
generated_image = tf.add(generated_image, noise)
generated_image = tf.clip_by_value(generated_image, clip_value_min=0.0, clip_value_max=1.0)

print(generated_image.shape)
imshow(generated_image.numpy()[0])
plt.show()


□ Load Pre-trained VGG19 Model

 

Next, as explained in part(2), define a function which loads the VGG19 model and returns a list of the outputs for the middle layers.

 

def get_layer_outputs(vgg, layer_names):
    """ Creates a vgg model that returns a list of intermediate output values."""
    outputs = [vgg.get_layer(layer[0]).output for layer in layer_names]

    model = tf.keras.Model([vgg.input], outputs)
    return model
content_layer = [('block5_conv4', 1)]

vgg_model_outputs = get_layer_outputs(vgg, STYLE_LAYERS + content_layer)
content_target = vgg_model_outputs(content_image)  # Content encoder
style_targets = vgg_model_outputs(style_image)     # Style enconder

□ Compute Total Cost

 

■ Compute the Content image Encoding (a_C)

 

# Assign the content image to be the input of the VGG model.  
# Set a_C to be the hidden layer activation from the layer we have selected
preprocessed_content =  tf.Variable(tf.image.convert_image_dtype(content_image, tf.float32))
a_C = vgg_model_outputs(preprocessed_content)

 

 Compute the Style image Encoding (a_S)

 

# Assign the input of the model to be the "style" image 
preprocessed_style =  tf.Variable(tf.image.convert_image_dtype(style_image, tf.float32))
a_S = vgg_model_outputs(preprocessed_style)

def clip_0_1(image):
    """
    Truncate all the pixels in the tensor to be between 0 and 1
    
    Arguments:
    image -- Tensor
    J_style -- style cost coded above

    Returns:
    Tensor
    """
    return tf.clip_by_value(image, clip_value_min=0.0, clip_value_max=1.0)

def tensor_to_image(tensor):
    """
    Converts the given tensor into a PIL image
    
    Arguments:
    tensor -- Tensor
    
    Returns:
    Image: A PIL image
    """
    tensor = tensor * 255
    tensor = np.array(tensor, dtype=np.uint8)
    if np.ndim(tensor) > 3:
        assert tensor.shape[0] == 1
        tensor = tensor[0]
    return Image.fromarray(tensor)

□ train_step

 

Implement the train_step() function for transfer learning

 

# UNQ_C5
# GRADED FUNCTION: train_step

optimizer = tf.keras.optimizers.Adam(learning_rate=0.01)

@tf.function()
def train_step(generated_image):
    with tf.GradientTape() as tape:
        # In this function you must use the precomputed encoded images a_S and a_C
        # Compute a_G as the vgg_model_outputs for the current generated image
        
        ### START CODE HERE
        
        #(1 line)
        a_G = vgg_model_outputs(generated_image)
        
        # Compute the style cost
        #(1 line)
        J_style = compute_style_cost(a_S, a_G)

        #(2 lines)
        # Compute the content cost
        J_content = compute_content_cost(a_C, a_G)
        # Compute the total cost
        J = total_cost(J_content, J_style, alpha=10, beta=40)
        
        ### END CODE HERE
        
    grad = tape.gradient(J, generated_image)

    optimizer.apply_gradients([(grad, generated_image)])
    generated_image.assign(clip_0_1(generated_image))
    # For grading purposes
    return J

 

# You always must run the last cell before this one. You will get an error if not.
generated_image = tf.Variable(generated_image)


J1 = train_step(generated_image)
print(J1)
assert type(J1) == EagerTensor, f"Wrong type {type(J1)} != {EagerTensor}"
assert np.isclose(J1, 25629.055, rtol=0.05), f"Unexpected cost for epoch 0: {J1} != {25629.055}"

J2 = train_step(generated_image)
print(J2)
assert np.isclose(J2, 17812.627, rtol=0.05), f"Unexpected cost for epoch 1: {J2} != {17735.512}"

print("\033[92mAll tests passed")


□ Train the Model

 

Run the following cell to generate an artistic image. It should take about 3min on a GPU for 2500 iterations. Neural Style Transfer is generally trained using GPUs.

If you increase the learning rate you can speed up the style transfer, but often at the cost of quality.

 

# Show the generated image at some epochs
# Uncoment to reset the style transfer process. You will need to compile the train_step function again 
epochs = 2501
for i in range(epochs):
    train_step(generated_image)
    if i % 250 == 0:
        print(f"Epoch {i} ")
    if i % 250 == 0:
        image = tensor_to_image(generated_image)
        imshow(image)
        image.save(f"output/image_{i}.jpg")
        plt.show()

Conclusion

 

Great job on completing this assignment! You are now able to use Neural Style Transfer to generate artistic images. This is also your first time building a model in which the optimization algorithm updates the pixel values rather than the neural network's parameters. Deep learning has many different types of models and this is only one of them!

What you should remember

  • Neural Style Transfer is an algorithm that given a content image C and a style image S can generate an artistic image
  • It uses representations (hidden layer activations) based on a pretrained ConvNet.
  • The content cost function is computed using one hidden layer's activations.
  • The style cost function for one layer is computed using the Gram matrix of that layer's activations. The overall style cost function is obtained using several hidden layers.
  • Optimizing the total cost function results in synthesizing new images.

■ 마무리

 

"Convolutional Neural Networks" (Andrew Ng) 4주차 "Art Generation with Neural Style Transfer"의 실습에 대해서 정리해봤습니다.

 

그럼 오늘 하루도 즐거운 나날 되길 기도하겠습니다

좋아요와 댓글 부탁드립니다 :)

 

감사합니다.

 

반응형

댓글